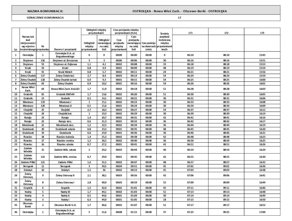
Od 1 kwietnia mieszkańcy gminy Olszewo-Borki mogą korzystać z nowego połączenia autobusowego, które znacząco ułatwi codzienne podróże do Ostrołęki i okolicznych miejscowości. Nowa linia kursuje na trasie: Ostrołęka – Nowa Wieś – Olszewo-Borki – Ostrołęka, obejmując przy tym aż 19 miejscowości położonych na terenie gminy.
Autobusy zatrzymują się w takich miejscowościach jak: Dreżewo, Kruki, Żebry-Chudek, Nowa Wieś, Grabnik, Mostowo, Chojniki, Rataje, Mostówek, Grabówek, Rżaniec, Zabiele Wielkie, Zabiele Piliki, Skrzypek, Działyń, Żebry-Ostrowy, Grądzik, Nakły oraz Olszewo-Borki. To długo wyczekiwane udogodnienie komunikacyjne jest odpowiedzią na potrzeby mieszkańców, którzy od lat zabiegali o lepszy dostęp do transportu publicznego.
Uruchomienie nowej linii autobusowej było możliwe dzięki porozumieniu pomiędzy Gminą Olszewo-Borki a Powiatem Ostrołęckim. W ramach współpracy, na mocy uchwały Rady Gminy z dnia 26 marca 2025 roku, Gmina Olszewo-Borki udzieliła dotacji celowej na sfinansowanie kursów autobusowych, co umożliwiło sprawne uruchomienie połączenia.
To kolejny ważny krok w kierunku poprawy jakości życia mieszkańców gminy. Nowe połączenia zapewniają lepszy dostęp do pracy, szkół, placówek zdrowia oraz usług publicznych, a także wzmacniają integrację lokalnych społeczności z miastem Ostrołęka.
Nowa linia już kursuje i cieszy się zainteresowaniem mieszkańców. To realny dowód na to, że współpraca samorządów może przynosić konkretne korzyści dla lokalnej społeczności.








1
4
15
18